假设甲、乙证券收益的相关系数接近于零,甲证券的期望报酬率为6%(标准差为10%),乙证券的期望报酬率为8%(标准差为15%),则由甲、乙证券构成的投资组合...

作者: rantiku 人气: - 评论: 0
问题 假设甲、乙证券收益的相关系数接近于零,甲证券的期望报酬率为6%(标准差为10%),乙证券的期望报酬率为8%(标准差为15%),则由甲、乙证券构成的投资组合( )。
选项 A.最低的期望报酬率为6% B.最高的期望报酬率为8% C.最高的标准差为15% D.最低的标准差为10%
答案 ABC
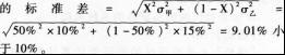
解析 投资组合的期望报酬率等于单项资产期望报酬率的加权平均数。假设在投资组合中, 期望报酬率较低的甲证券所占的投资比例为x,则期望报酬率较高的乙证券所占的投资比例为1一x,投资组合的期望报酬率=X * 6%+(1一X)* 8%,在投资组合中期望报酬率较低的甲证券所占的投资比例越低,即x越小,投资组合的期望报酬率则越高,取X=0,投资组合的期望报酬率=8%=最高的期望报酬率;反之,在投资组合中期望报酬率较低的甲证券所占的投资比例越高,即x越大,投资组合的期望报酬率则越低,取X=1,投资组合的期望报酬率=6%=最低的期望报酬率,因此选项A、B正确。 我们可以回忆一下教材中有关两项资产组合的机会集的图示和例题:只要相关系数不等于1, 则组合的机会集一定会向左弯曲,既然向左弯曲,那么左侧最弯曲的那一点就是组合的标准差最小的点(最小方差点),而该点的标准差可能比组合中风险较低的那项资产的标准差还要小,因此就本题而言,甲、乙证券构成的投资组合最低的标准差一定低于10%,所以选项D错误;同时结合机会集曲线可知,组合的最高标准差一定是组合中风险较高的那项资产的标准差,即不管如何组合,组合的风险不会超越风险较高的那项资产的单独风险(投资组合不可能增加风险),因此选项C正确。 【提示】可能大家想到按照分析投资组合的期望报酬率的思路来分析投资组合的标准差: 投资组合的标准差= 准差只需分析根号内的算式即可,但一定要注意根号内的算式并不是甲、乙证券方差(标差的平方)的加权平均数,因为权数X2和(1一X)2的和不等于1,如果权数是X2和1一x2,则可以按照上述思路来分析。在投资组合中标准差较低的甲证券所占的投资比例越低,即x越小,投资组合的标准差则越高,取X=0,投资组合的标准差=15%=最高的标准差;反过来,在投资组合中标准差较低的甲证券所占的投资比例越高,即x越大,投资组合的标准差不一定越低,如取X=50%,投资组合

猜你喜欢

发表评论
更多 网友评论0 条评论)
暂无评论

访问排行

Copyright © 2012-2014 恰考网 Inc. 保留所有权利。 Powered by tikuer.com

页面耗时0.0362秒, 内存占用1.04 MB, Cache:redis,访问数据库19次