新建热电联产项目【素材】 某工业园区位于西南某中等城市以南4km处近郊工业园区规划范围内,工业园区目前尚无热电厂,现有的用热企业11家均采用自备锅...

作者: rantiku 人气: - 评论: 0
问题 新建热电联产项目 【素材】 某工业园区位于西南某中等城市以南4km处近郊工业园区规划范围内,工业园区目前尚无热电厂,现有的用热企业11家均采用自备锅炉供热,共设自备锅炉20台,目前锅炉总容量为93t/h,烟尘排放量333t/a、SO2排放量1650t/a、炉渣排放量6万t/a。 该园区热电站建设项目己列入经批准的城市供热总体规划,热电站设计规模为130t/h锅炉2台、25MW汽轮发电机组1台,同步建设相应供热规模的热网以及配套的公用工程、输煤系统,同时淘汰现有分散自备锅炉。热电站最大供热能力130t/h,总热效率60%、热电比355%。热电站采用循环流化床锅炉,汽轮机组为抽气凝汽式。 厂址位于丘陵地区,属空气质量功能二类区,年主导风向为北风。厂区西隔一条道路与河流A(主要功能为工业、渔业、航运、灌溉,多年平均流速12.6m/s,平均水深3m,河宽3m。)相邻,北接河流B(主要功能为灌溉),东、南两面为规划工业用地,东厂界距最近的村庄A约250m。灰场位于厂区东南侧约1km的干沟内,地下水埋深约1m,灰场西南侧距最近的村庄B约300m。 锅炉年利用小时数为6OOOh,采用石灰石-石膏湿法脱硫技术,脱硫效率>90%,302排放浓度80mg/m3、排放量0.028t/h;采用除尘效率大于99.9%的布袋除尘器,烟尘排放浓度20mg/m3、排放量0.007t/h;采用SCR法脱硝技术,脱硝效率>75%,NOx排放浓度98mg/m3、排放量0.035t/h。烟囱高120m,距厂界最近距离80m。经预测,S02最大地面浓度为15.11μg/m3,SO2地面浓度均小于标准限值的10%;PM10最大地面浓度为3.78μg/m3,PM1。地面浓度均小于标准限值的10%;NO2最大地面浓度为18.536μg/m3。厂区采用直流供水系统,取水自西侧河流A(河流B为备用水源),排水入西侧河流A;直流循环水(温排水)排放量约5930m3/d,经预测,温排水造成河流A周平均最大温升为2.2℃;—般废水排放量为449m3/d,处理达标后由厂内总排口排入西侧河流A。项目采用灰渣分除、干出灰方式,预计灰渣产生量约78120t/a,其中渣量35160t/a,灰量42960t/a,目前已与建材、砖瓦厂签订灰渣综合利用协议,协议利用率100%,经分析,该项目灰渣属II类一般工业固体废物。 【问题】 1.该项目厂区和灰场选址从环保角度看是否合理?请说明理由。 2.判定该项目大气、地面水评价等级,并给出判定依据。 3.从已给资料看,该项目明显不能满足达标排放要求的是哪一点? 4.该项目大气总量控制是否满足要求? 附:《环境影响评价技术导则一地面水环境》(HJ/T2.3-93)表2。
选项
答案
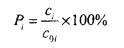
解析 1.该项目厂区和灰场选址从环保角度看是否合理?请说明理由。 答:从环保角度看,该项目厂区选址合理,灰场选址不合理。原因如下: (1)国家禁止在大中城市城区和近郊区、建成区和规划区新建燃煤火电厂,但以热定电的热电厂除外,该项目虽位于中等城市近郊,但属于以热定电的热电厂,故不在禁令之列;热电厂位于城市主导风向下风向,有利于大气污染物的扩散,故热电厂厂区选址从环保角度看是合理的。 (2)该项目灰渣属第II类一般工业固体废物,应满足《一般工业固体废物贮存、处置场污染控制标准》(GB18599—2001)有关选址要求。就提供的素材看,灰场虽位于工业区和居民集中区主导风向下风侧,但灰场西南侧距最近的村庄B约300m,不能满足“厂界距居民集中区500m以外”的要求;灰场地下水埋深约1m,不符合“天然基础层地表距地下水位的距离不得小于1.5m”的要求。故灰场选址从环保角度看是不合理的。 2.判定该项目大气、地面水评价等级,并给出判定依据。 答:根据《环境影响评价技术导则一大气环境》(HJ2.2—2008)中评价工作分级划定办法,该项目大气评价等级为三级;根据《环境影响评价技术导则一地面水环境》(HJ/T2.3—93)中的评价工作分级划定办法,该项目地面水评价等级为二级,具体判定依据如下: (1)大气:选择S02、PM10、NO2为废气主要污染物,计算其最大地面浓度占标率Pi: P S02=15.11÷500X100%=3.0%; PPM10=3.78÷(150X3)X100%=0.8%; PN02=18.536÷240X100%=7.7%。 取污染物中Pi最大者PNO2(2)地面水:该项目废水排放量 Q=6379m3/d,5OOOm3/d3.从已给资料看,该项目明显不能满足达标排放要求的是哪一点? 答:虽然一般废水处理达标后排放,但温排水造成河流A周平均最大温升为2.2℃, 不符合《地表水环境质量标准》(GB3838—2002)表1中对水温的要求:“人为造成的环境水温变化应限制在周平均温升4.该项目大气总量控制是否满足要求? 答:该项目投产后将淘汰园区内现有企业自备的燃煤锅炉,实现集中供热。 淘汰自备锅炉20台,削减SO2排放量1650t/a、削减烟尘排放量333t/a。按锅炉年利用小时数6000h计,该项目SO2排放量0.028t/h,折合为168t/a;NOx排放量0.035t/h,折合为210t/a;烟尘排放量0.007t/h,折合为42t/a。 该工程在保证除尘、脱硫设施正常运行的条件下,SO2排放削减量为1482t/a,烟尘排放削减量为291t/a;该工程上马后还可以减少供热区域其他小型锅炉的建设。因此该工程的实施有利于减少开发区大气污染物的排污总量,符合“增产减污”的总量控制要求。 【考点分析】 1.该项目厂区和灰场选址从环保角度看是否合理?请说明理由。 《环境影响评价案例分析》考试大纲中“七、环境可行性分析(1)分析建设项目的环境可行性”。 举一反三: (1)厂址选择合理性是环境可行性分析的重要组成部分,电厂厂址选择涉及厂区、灰场、供水管线、铁路或公路专用线等方面,需要从国家法规政策、设计规程、地区规划、环境功能及环境影响方面进行分析。 ①厂址选择首先要符合国家环境保护法规要求,包括大气、水、噪声、固废等污染防治法,城市规划、自然保护区条例、风景名胜区条例等自然保护法。法规禁止的地点,如自然保护区、风景名胜区等,不得作为电厂厂址使用。 ②除法规要求外,国家有关政府主管部门颁布的对火电项目厂址的有关要求,也应在环评中得到执行。如《国务院关于酸雨控制区和二氧化硫污染控制区有关问题的批复》《关于加强燃煤电厂二氧化硫污染防治工作的通知》《国家发展改革委关于燃煤电站项目规划和建设有关要求的通知》《热电联产和煤矸石综合利用发电项目建设管理暂行规定》中有关电厂选址的要求等。 ③电厂选址还应符合地方总体发展规划和城镇布局规划,尽可能避免在人口稠密区和城镇规划中的居住、文教、商业社区发展方位及其主导风向的上风向选址建厂。 ④从环境功能要求看,在环境质量标准规定的不允许排放污染的地域、水域,如声环境功能0类区,地表水中的1类、2类水域及海洋1类海域等,环境影响与现状叠加后不应超过环境质量标准要求。电厂厂址不应位于大中城市主导风向上风向,以避免对城市有污染影响。 (2)因灰渣属一般工业固体废物,应满足《一般工业固体废物贮存、处置场污染控制标准》(GB18599—2001)有关选址的要求。具体要求如下: 5场址选择的环境保护要求 5.1 I类场和II类场的共同要求 5.1.1所选场址应符合当地城乡建设总体规划要求。 5.1.2应选在工业区和居民集中区主导风向下风侧,厂界距居民集中区500m以外。 5.1.3应选在满足承载力要求的地基上,以避免地基下沉的影响,特别是不均匀或局部下沉的影响。 5.1.4应避开断层、断层破碎带.溶洞区,以及天然滑坡或泥石流影响区。 5.1.5禁止选在江河、湖泊、水库最高水位线以下的滩地和洪泛区。 5.1.6禁止选在自然保护区、风景名胜区和其他需要特别保护的区域。 5.2 I类场的其他要求:应优先选用废弃的采矿坑、塌陷区。 5.3 II类场的其他要求 5.3.1应避开地下水主要补给区和饮用水源含水层。 5.3.2应选在防渗性能好的地基上。天然基础层地表距地下水位的距离不得小于1.5m。 2.判定该项目大气、地面水评价等级,并给出判定依据。 《环境影响评价案例分析》考试大纲中“四、环境影响识别、预测与评价(3)选用评价标准;(4)确定评价工作等级、评价范围及各环境要素的环境保护要求”。 举一反三: (1)大气评价等级的判定应注意采用新标准HJ2.2—2008的判据,有关规定: 5.3.2评价工作等级的确定 5.3.2.1根据项目的初步工程分析结果,选择1~3种主要污染物,分别计算每一种污染物的最大地面浓度占标率Pi(第i个污染物),及第i个污染物的地面浓度达标准限值10%时所对应的最远距离D10%。。其中Pi定义为: 式中: Pi——第i个污染物的最大地面浓度占标率,%; ci——采用估算模式计算出的第i个污染物的最大地面浓度,mg/m3; c0i——第i个污染物的环境空气质量标准,mg/m3。 c0i一般选用GB3095中1小时平均取样时间的二级标准的浓度限值;对于没有小时浓度限值的污染物,可取日平均浓度限值的三倍值;对该标准中未包含的污染物,可参照TJ36中的居住区大气中有害物质的最高容许浓度的一次浓度限值。如己有地方标准,应选用地方标准中的相应值。对某些上述标准中都未包含的污染物,可参照国外有关标准选用,但应作出说明,报环保主管部门批准后执行。 5.3.2.2评价工作等级按表1的分级判据进行划分。最大地面浓度占标率Pi按公式(1)计算,如污染物数i大于1,取P值中最大者(Pmax),和其对应的D10%。 (2)地表水评价等级的判定应依据《环境影响评价技术导则一地面水环境》: 5.2.1污水排放量中不包括间接冷却水、循环水以及其他含污染物极少的清净下水的排放量,但包括热量大的冷却水的排放量。 5.2.2污水水质的复杂程度按污水中拟预测的污染物类型以及某类污染物中水质参数的多少划分为复杂、中等和简单三类。 5.2.2.1根据污染物在水环境中输移、衰减的特点以及它们的预测模式,将污染物分为四类: ?持久性污染物(其中还包括在水环境中难降解、毒性大、易长期积累的有毒物质); ?非持久性污染物; ?酸和碱(以pH表征); ?热污染(以温度表征)。 5.2.2.2污水水质的复杂程度。 复杂:污染物类型数≥3;或者只含有2类污染物,但需预测其浓度的水质参数数目≥10。 中等:污染物类型数=2,且需预测其浓度的水质参数数目7。 简单:污染物类型数=1,需预测浓度的水质参数数目…… 5.2.3.2湖泊和水库,按枯水期湖泊或水库的平均水深以及水面面积划分。当平均水深>10m时: 大湖(库):≥25km2; 中湖(库):2.5~25km2; 小湖(库):当平均水深大湖(库):≥50km2; 中湖(库):5~50km2; 小湖(库): 在具体应用上述划分原则时,可根据我国南、北方以及干旱、湿润地区的特点进行适当调整。 地表水环境功能区的确定:本题目中河流A主要功能为工业、渔业、航运、灌溉,分别对应《地表水环境质量标准》(GB3838—2002)中IV、III、V、V类水域功能。根据《标准》规定“同一水域兼有多种使用功能的,执行最高功能类别对应的标准值”,故河流A水域功能应为III。 3.从己给资料看,该项目明显不能满足达标排放要求的是哪一点? 《环境影响评价案例分析》考试大纲中“六、环境保护措施分析(1)分析污染物达标排放情况”。 举一反三: 一般达标排放均应根据污染物排放标准进行判断,但火电厂的温排水造成的温升却应根据《地表水环境质量标准》(GB3838—2002)表1中对水温的要求进行达标排放判断。 4.该项目大气总量控制是否满足要求? 《环境影响评价案例分析》考试大纲中“六、环境保护措施分析(4)分析污染物排放总量情况”。 举一反三: 国函[2006]70号《国务院关于“十一五”期间全国主要污染物排放总量控制计划的批复》规定,一般地区总量控制因子为2个:化学需氧量和二氧化硫,在国家确定的水污染防治重点流域、海域专项规划还需补充氨氮(总氮)、总磷等污染物总量控制要求。 根据国家环保总局2006年第39号公告《关于发布火电项目环境影响报告书受理条件的公告》,电厂项目二氧化硫排放总量还必须符合以下要求: (一)新建、扩建、改造火电项目必须按照“增产不增污”或“增产减污”的要求,通过对现役机组脱硫、关停小机组或排污交易等措施或“区域削减”措施落实项目污染物排放总量指标途径,并明确具体的减排措施。 (二)总局与六家中央管理电力企业集团(以下简称六大集团)或省级人民政府签订二氧化硫削减责任书的脱硫老机组的扩建、改造火电项目,所涉及的老机组脱硫工程的开工、投产进度必须符合贵任书有矢要求。 (三)热电站、煤矸石电厂、垃圾焚烧发电厂项目的总量指标必须明确总量指标来源。除热电站、煤矸石电厂、垃圾焚烧发电厂外,其他新建、扩建、改建常规火电项目的二氧化硫排放总量指标必须从电力行业取得。 1.属于六大电力集团的新建、扩建、改造项目,二氧化硫排放总量指标必须从六大集团的总量控制指标中获得,并由所在电力集团公司和所在地省级环保部门出具确认意见。 2.不厲于六大电力集团的新建、扩建、改造项目,二氧化硫排放总量指标必须从各省 非六大电力集团电力行业总量控制指标中获得,并由省级环保部门出具确认意见。 自本公告发布之日起,建设单位在提交项目的环境影响报告书时,应同时提供省级环保部门对项目污染物排放总量指标来源的确认文件,六大电力集团的新建、扩建和改造项目还应有所属电力集团公司的确认意见。 (四)总量控制政策有调整时,我局将及时下发有关要求。 根据发改能源[2007]141号《热电联产和煤矸石综合利用发电项目建设管理暂行规定》,本项目属工业区集中供热项目,供热半径内不得重复建设此类热电项目。具体规定为: 第十一条 以工业热负荷为主的工业区应当尽可能集中规划建设,以实现集中供热。第十二条 在巳有热电厂的供热范围内,原则上不重复规划建设企业自备热电厂。除大型石化、化工、钢铁和造纸等企业外,限制为单一企业服务的热电联产项目建设。 第十五条 以热水为供滿介质的热电联产项目覆盖的供热半径一般按20km考虑,在10km范围内不重复规划建设此类热电项目; 以蒸汽为供热介质的一般按8km考虑,在8km范围内不重复规划建设此类热电项目。

猜你喜欢

发表评论
更多 网友评论0 条评论)
暂无评论

访问排行

Copyright © 2012-2014 恰考网 Inc. 保留所有权利。 Powered by tikuer.com

页面耗时0.0406秒, 内存占用1.08 MB, Cache:redis,访问数据库19次