世界银行某咨询服务项目通过公开招标方式择优选择咨询单位。某咨询公司拟参加该咨 询服务项目的投标,通过对招标文件的分析,针对招标人对投标文件中“建议的关...

作者: rantiku 人气: - 评论: 0
问题 世界银行某咨询服务项目通过公开招标方式择优选择咨询单位。某咨询公司拟参加该咨 询服务项目的投标,通过对招标文件的分析,针对招标人对投标文件中“建议的关键人员的资历”的评审内容,该公司从工作经历、工作年限、现任职务和所受培训程度等方面考虑选派项目经理。最终该咨询公司中标,咨询服务合同工期为17周。 项目经理编制了咨询服务进度计划,如图1所示。 由于A、I、J工作均为现场考察,项目组织安排甲专业咨询工程师按A—I—J顺序通过实地考察完成,并相应调整了咨询服务进度计划。 调整后的咨询服务进度计划执行2周后,委托方提出增加一项新的F工作。根据咨询工作内容的要求,F工作必须安排在A工作完成之后开始,并在I工作开始之前完成。经过项目经理确认,F工作的持续时间为3周。 该计划执行到第15周周末时检查发觋,项目拟完工作计划费用为13万元,已完工作计划费用为10万元,已完工作实际费用为11万元。 【问题】 1.针对招标人对投标文件中“建议的关键人员的资历”的评审内容,咨询公司选派项目经理时,还应该考虑项目经理具备哪些条件? 2.为使甲专业咨询工程师按
选项 A—I—J顺序工作,咨询服务进度计划应如何调整?调整后的咨询服务进度计划能否满足咨询合同的工期要求?甲专业咨询工程师在现场考察的窝工时间为多少周? 3.确定增加F工作后咨询服务进度计划的计算工期和关键线路。 4.分析该项目第15周周末的进度偏差和费用偏差。
答案
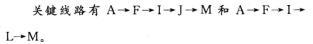
解析 1.针对招标人对投标文件中“建议的关键人员的资历”的评审内容,咨询公司选派项目经理时,还应该考虑项目经理对该行业的工作经验或类似工作经验。 2.需要安排虚工作才能使甲咨询工程师按A—1—J顺序工作,调整进度计划如下图所示(也可以不画图,直接用文字描述,如在A工作之后、I工作之前增加一项虚工作③一④,在1工作之后、J工作之前增加一项虚工作⑥一⑦等)。 调整后计划的计算工期仍为17周,满足合同工期的要求。 甲咨询工程师的窝工时间(自由时差)共计17—15—2(周)。 3.增加工作F后的计算工期变成18周。 4.第15周周末的进度偏差和费用偏差如下: 进度偏差=已完工作计划费用一拟完工作计划费用=10-13=-3(万元),说明工作拖延了3万元的工程量; 费用偏差=已完工作计划费用一已完工作实际费用=10-11=-1(万元),说明费用超支了1万元。

猜你喜欢

发表评论
更多 网友评论0 条评论)
暂无评论

访问排行

Copyright © 2012-2014 恰考网 Inc. 保留所有权利。 Powered by tikuer.com

页面耗时0.0432秒, 内存占用1.04 MB, Cache:redis,访问数据库19次