某建设单位经相关主管部门批准,组织某建设项目全过程总承包(即EPC模式)的公开招标工作。根据实际情况和建设单位要求,该工程工期定为2年,考虑到各种因素的影...

作者: rantiku 人气: - 评论: 0
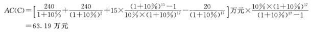
问题 某建设单位经相关主管部门批准,组织某建设项目全过程总承包(即EPC模式)的公开招标工作。根据实际情况和建设单位要求,该工程工期定为2年,考虑到各种因素的影响,决定该工程在基本方案确定后即开始招标,确定的招标程序如下:(1)成立该工程招标领导机构;(2)委托招标代理机构代理招标;(3)发出投标邀请书;(4)对报名参加投标者进行资格预审,并将结果通知合格的申请投标人;(5)向所有获得投标资格的投标人发售招标文件;(6)召开投标预备会;(7)招标文件的澄清与修改;(8)建立评标组织,制定标底和评标、定标办法;(9)召开开标会议,审查投标书;(10)组织评标;(11)与合格的投标者进行质疑澄清;(12)决定中标单位;(13)发出中标通知书;(14)建设单位与中标单位签订承发包合同。该工程共有7家投标人投标,在开标过程中,出现如下情况:(1)其中1家投标人的投标书没有按照招标文件的要求进行密封和加盖企业法人印章,经招标监督机构认定,该投标作无效投标处理。(2)其中1家投标人提供的企业法定代表人委托书是复印件,经招标监督机构认定,该投标作无效投标处理。(3)开标人发现剩余的5家投标人中,有1家的投标报价与标底价格相差较大,经现场商议,也作为无效投标处理。假设该工程有效标书经评标专家的评审,其中A、B、C 3家投标单位投标方案的有关参数,见表2 。 表2 各投标方案有关参数表 若基准折现率为1 0%,且已知A方案寿命期年费用为72.4万元;B方案寿命期年费用为69. 93万元。 问题: 1.指出招标程序中的不妥和不完善之处。 2.对开标过程出现的情况的处理是否正确?并说明理由。 3.计算C方案的寿命期年费用,并利用年费用指标对3个投标方案的优劣进行排序(小数点后保留两位)。 4.建设单位从建设项目投资控制角度考虑,倾向于采用固定总价合同为什么?
选项
答案
解析 1.招标程序中的不妥和不完善之处如下。第(3)条发出招标邀请书不妥,应为发布(或刊登)招标通告(或公告)。第(4)条将资格预审结果仅通知合格的申请投标人不妥,资格预审的结果应通知到所有投标人。第(6)条召开投标预备会前应先组织投标单位踏勘现场。第(8)条制定标底和评标定标办法不妥,该工作不应安排在此处进行。 2.开标过程的情况处理判定及理由如下。(1)的处理是正确的,因为投标书必须密封和加盖企业法人印章;(2)的处理是正确的,因为企业法定代表人的委托书必须是原件;(3)的处理是不正确的,因为投标报价与标底价格有较大差异不能作为判定是否为无效投标的依据。 3.对三个投标方案的优劣排序。C方案年费用: 由以上计算结果可知:C方案的年费用最低,为最优方案;其次是B方案;A方案的费用最高,在三个方案中是最差的。 4.建设单位倾向于采用固定总价合同的理由如下:(1)便于业主(或建设单位)投资的控制;(2)对承包人来说要承担较大的风险(或发包人承担的风险较小);(3)应在合同中确定一个完成项目总价;(4)有利于在评标时确定报价最低的承包商。

猜你喜欢

发表评论
更多 网友评论0 条评论)
暂无评论

访问排行

Copyright © 2012-2014 恰考网 Inc. 保留所有权利。 Powered by tikuer.com

页面耗时0.0391秒, 内存占用1.04 MB, Cache:redis,访问数据库20次