某种货物2009年初的价格为100元/件,预计该种货物2009年时价上涨率6%,物价总水平上涨3.5%,则该种货物2009年的实价上涨率约为()。[200...

作者: rantiku 人气: - 评论: 0
问题 某种货物2009年初的价格为100元/件,预计该种货物2009年时价上涨率6%,物价总水平上涨3.5%,则该种货物2009年的实价上涨率约为()。[2009年真题]
选项 A:2.42% B:2.5% C:3.85% D:6.35%
答案 A
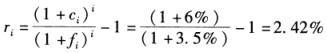
解析 设第i年的实价上涨率为ri,物价总水平上涨率为fi,则该种货物2009年的实价上涨率

猜你喜欢

发表评论
更多 网友评论0 条评论)
暂无评论

访问排行

Copyright © 2012-2014 恰考网 Inc. 保留所有权利。 Powered by tikuer.com

页面耗时0.0371秒, 内存占用1.03 MB, Cache:redis,访问数据库20次