则a等于:A. 1 或 2 B. -1 或 2C. -1 或-2 D. 1 或-2

作者: rantiku 人气: - 评论: 0
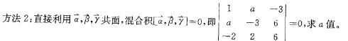
问题 则a等于: A. 1 或 2 B. -1 或 2 C. -1 或-2 D. 1 或-2
选项
答案 C
解析 = 6(a + 1) (a + 2) =0, 所以a=-1或-2。

猜你喜欢

发表评论
更多 网友评论0 条评论)
暂无评论

访问排行

Copyright © 2012-2014 恰考网 Inc. 保留所有权利。 Powered by tikuer.com

页面耗时0.0498秒, 内存占用1.03 MB, Cache:redis,访问数据库20次