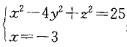
方程表示下述哪种曲面?A.单叶双曲面 B.双曲柱面C.双曲柱面在平面x=0上投影 D.x=-3平面上双曲线

作者: rantiku 人气: - 评论: 0
问题 方程表示下述哪种曲面? A.单叶双曲面 B.双曲柱面 C.双曲柱面在平面x=0上投影 D.x=-3平面上双曲线
选项
答案 D
解析 提示:两曲面联立表示空间一曲线,进一步可断定为在x=-3平面上的双曲线。

猜你喜欢

发表评论
更多 网友评论0 条评论)
暂无评论

访问排行

Copyright © 2012-2014 恰考网 Inc. 保留所有权利。 Powered by tikuer.com

页面耗时0.0433秒, 内存占用1.03 MB, Cache:redis,访问数据库20次