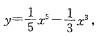
对于曲线下列各性态不正确的是:A.有3个极值点 B.有3个拐点 C.有2个极值点 D. 对称原点

作者: rantiku 人气: - 评论: 0
问题 对于曲线下列各性态不正确的是: A.有3个极值点 B.有3个拐点 C.有2个极值点 D. 对称原点
选项
答案 A
解析 提示:通过计算f(x)的极值点确定。 y'=x4 -x2 =x2 (x2-1) =x2 (x+1) (x-1) 令y'=0,求驻点:x1=0,x2=1,x3=-1 利用驻点将定义域分割(-∞,-1)、(-1,0)、(0,1)、(1,+∞)。 函数只有2个极值点,选项A不正确。 还可判定选项B、C成立。

猜你喜欢

发表评论
更多 网友评论0 条评论)
暂无评论

访问排行

Copyright © 2012-2014 恰考网 Inc. 保留所有权利。 Powered by tikuer.com

页面耗时0.0362秒, 内存占用1.03 MB, Cache:redis,访问数据库20次