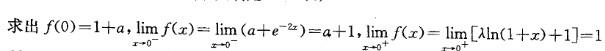
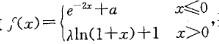
设函数,要使f(x)在x=0处连续,则a的值是:A.0 B. 1 C.-1 D.λ
相关内容:函数
- 连续介质模型既可摆脱研究流体分子运动的复杂性,又可:A.不考虑流体的压缩性B.不考虑流体的粘性C.运用高等数学中连续函数理论分析流体运动D...
- 单位冲激信号δ(t)是:A.奇函数 B.偶函数C.非奇非偶函数 D.奇异函数,无奇偶性
- 逻辑函数的化简结果是: A. F=AB+BC C. F=A+B+C D. F=ABC
- 下列各波函数不合理的是:A. ψ(1,1,0) B. ψ(2,1,0)C. ψ(3,2,0) D. ψ(5,3,0)
- 下列函数f(x,t)表示弹性介质中的一维波动,式中A、a和b是正常数。其中哪个函数表示沿x轴负向传播的行波?A. f(x,t) =Acos(ax+bt...