当x→0时,x2+sinx是x的:A.髙阶无穷小 B.同阶无穷小,但不是等价无穷小C.低阶无穷小 D.等价无穷小

作者: rantiku 人气: - 评论: 0
问题 当x→0时,x2+sinx是x的: A.髙阶无穷小 B.同阶无穷小,但不是等价无穷小 C.低阶无穷小 D.等价无穷小
选项
答案 D
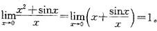
解析 提示:通过求极限的结果来确定,

猜你喜欢

发表评论
更多 网友评论0 条评论)
暂无评论

访问排行

Copyright © 2012-2014 恰考网 Inc. 保留所有权利。 Powered by tikuer.com

页面耗时0.0542秒, 内存占用1.02 MB, Cache:redis,访问数据库15次