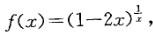
设函数当定义f(0)为何值时,则f(x)在x=0处连续?A. e2 B. e C. e-2 D. e-1/2

作者: rantiku 人气: - 评论: 0
问题 设函数当定义f(0)为何值时,则f(x)在x=0处连续? A. e2 B. e C. e-2 D. e-1/2
选项
答案 C
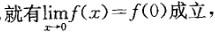
解析 提示:利用函数在一点连续的定义,e-2, 定义f(0)=e-2时,f(x)在x=0处连续。

猜你喜欢

发表评论
更多 网友评论0 条评论)
暂无评论

访问排行

Copyright © 2012-2014 恰考网 Inc. 保留所有权利。 Powered by tikuer.com

页面耗时0.0456秒, 内存占用1.03 MB, Cache:redis,访问数据库19次