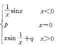
如果函数f(x)=在x=0处连续,则p、q的值为:A.p=0,q=0 B.p=0,q=1 C.p=1,q=0 D.p=1,q=1

作者: rantiku 人气: - 评论: 0
问题 如果函数f(x)=在x=0处连续,则p、q的值为: A.p=0,q=0 B.p=0,q=1 C.p=1,q=0 D.p=1,q=1
选项
答案 D
解析 提示:利用函数在x=0点连续的定义f(x+0)=f(x-0)=f(0),求p、q值。 f(0)=p,求出 p=q=1。

猜你喜欢

发表评论
更多 网友评论0 条评论)
暂无评论

访问排行

Copyright © 2012-2014 恰考网 Inc. 保留所有权利。 Powered by tikuer.com

页面耗时0.0364秒, 内存占用1.03 MB, Cache:redis,访问数据库19次