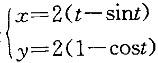
已知曲线L的参数方程是,则曲线L上t=π/2处的切线方程是:A. x+y=π B.x-y=π-4 C. x-y=π D.x+y=π-4

作者: rantiku 人气: - 评论: 0
问题 已知曲线L的参数方程是,则曲线L上t=π/2处的切线方程是: A. x+y=π B.x-y=π-4 C. x-y=π D.x+y=π-4
选项
答案 B
解析 利用点斜式写出切线方程。

猜你喜欢

发表评论
更多 网友评论0 条评论)
暂无评论

访问排行

Copyright © 2012-2014 恰考网 Inc. 保留所有权利。 Powered by tikuer.com

页面耗时0.0461秒, 内存占用1.03 MB, Cache:redis,访问数据库20次