在区间[0,8]上,下列中哪个结论是正确的?A.罗尔定理不成立 B.罗尔定理成立,且ζ=2C.罗尔定理成立,且ζ=4 D.罗尔定理成立,且ζ=8

作者: rantiku 人气: - 评论: 0
问题 在区间[0,8]上,下列中哪个结论是正确的? A.罗尔定理不成立 B.罗尔定理成立,且ζ=2 C.罗尔定理成立,且ζ=4 D.罗尔定理成立,且ζ=8
选项
答案 C
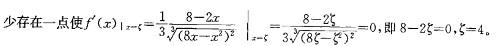
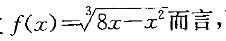
解析 提示:验证函数是否满足罗尔定理的条件,利用罗尔定理结论求出ζ值如下。 f(x)在[0,8]上连续,在(0,8)内可导,且f(0)=f(8)=0,利用罗尔定理,在(0,8)之间至

猜你喜欢

发表评论
更多 网友评论0 条评论)
暂无评论

访问排行

Copyright © 2012-2014 恰考网 Inc. 保留所有权利。 Powered by tikuer.com

页面耗时0.0336秒, 内存占用1.03 MB, Cache:redis,访问数据库19次