作者: rantiku 人气: - 评论: 0
问题
选项
答案 A
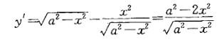
解析 提示:利用函数乘积的导数公式计算,即y=uv,y'=u'v+uv'。

相关内容:

发表评论
更多 网友评论0 条评论)
暂无评论

访问排行

Copyright © 2012-2014 恰考网 Inc. 保留所有权利。 Powered by tikuer.com

页面耗时0.0418秒, 内存占用1.01 MB, Cache:redis,访问数据库20次