A.-1/4 B.1/2 C.1/4 D.4

作者: rantiku 人气: - 评论: 0
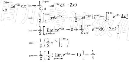
问题 A.-1/4 B.1/2 C.1/4 D.4
选项
答案 C
解析 提示:本题为函数f(x)在无穷区间的广义积分。 计算如下:

猜你喜欢

发表评论
更多 网友评论0 条评论)
暂无评论

访问排行

Copyright © 2012-2014 恰考网 Inc. 保留所有权利。 Powered by tikuer.com

页面耗时0.0405秒, 内存占用1.03 MB, Cache:redis,访问数据库20次