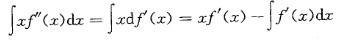
A. xf'(x)-f'(x)+c B.xf'(x)-f(x)+c C.xf'(x)+f'(x)+c D.xf'(x)-...

作者: rantiku 人气: - 评论: 0
问题 A. xf'(x)-f'(x)+c B.xf'(x)-f(x)+c C.xf'(x)+f'(x)+c D.xf'(x)-f(x)+c
选项
答案 B
解析 提示:利用分部积分公式计算再积分。

猜你喜欢

发表评论
更多 网友评论0 条评论)
暂无评论

访问排行

Copyright © 2012-2014 恰考网 Inc. 保留所有权利。 Powered by tikuer.com

页面耗时0.0409秒, 内存占用1.03 MB, Cache:redis,访问数据库20次