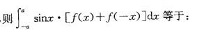
设f(x)在积分区间上连续,A.-1 B.0 C. 1 D. 2

作者: rantiku 人气: - 评论: 0
问题 设f(x)在积分区间上连续, A.-1 B.0 C. 1 D. 2
选项
答案 B
解析 提示:利用奇偶函数,在对称区间积分为零的性质,计算如下:判定f1(x) = sinx是奇函数,f2(x) = f(x) +f(-x)是偶函数,乘积为奇函数。

猜你喜欢

发表评论
更多 网友评论0 条评论)
暂无评论

访问排行

Copyright © 2012-2014 恰考网 Inc. 保留所有权利。 Powered by tikuer.com

页面耗时0.0661秒, 内存占用1.03 MB, Cache:redis,访问数据库19次