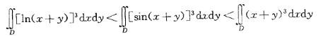
设平面闭区域D由x=0,y=0,x+y=1/2,x+y=1 所围成。A.I123 B. I132C. I321 D. I312

作者: rantiku 人气: - 评论: 0
问题 设平面闭区域D由x=0,y=0,x+y=1/2,x+y=1 所围成。 A.I123 B. I132 C. I321 D. I312
选项
答案 B
解析 提示:为了观察方便,做出平面区域D的图形,区域D在直线x+y=1的下方,在直线x+y=1/2上方以及由直线x= 0,y = 0围成。积分区域D上的点满足1/2≤x+y≤1。 故ln(x+y) ≤0,[ln(x+y)]3 ≤0 由三角函数知识,当0故033 所以平面区域D上的点满足: [ln(x+y)]33 3 由二重积分性质:

猜你喜欢

发表评论
更多 网友评论0 条评论)
暂无评论

访问排行

Copyright © 2012-2014 恰考网 Inc. 保留所有权利。 Powered by tikuer.com

页面耗时0.0399秒, 内存占用1.03 MB, Cache:redis,访问数据库20次