作者: rantiku 人气: - 评论: 0
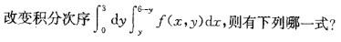
问题
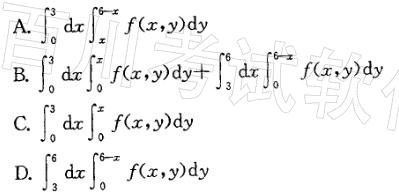
选项
答案 B
解析 提示:把积分区域D复原,做出x=6-y,x=y直线求交点,再做出直线y=3,y = 0得出区域D,改变积分顺序,先y后x,由于上面边界曲线是由两个方程给出,则把D分剖成两部分:D1、D2,然后分别按先y后x的积分顺序,写出二次积分的形式。

相关内容:

猜你喜欢

发表评论
更多 网友评论0 条评论)
暂无评论

访问排行

Copyright © 2012-2014 恰考网 Inc. 保留所有权利。 Powered by tikuer.com

页面耗时0.0330秒, 内存占用1.01 MB, Cache:redis,访问数据库18次