设L是以O(0,0),A(1,0),B(0,1)为顶点的三角形的边界,

作者: rantiku 人气: - 评论: 0
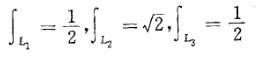
问题 设L是以O(0,0),A(1,0),B(0,1)为顶点的三角形的边界,
选项
答案 C
解析 即分别计算三个对弧长的曲线积分,然后相加。

猜你喜欢

发表评论
更多 网友评论0 条评论)
暂无评论

访问排行

Copyright © 2012-2014 恰考网 Inc. 保留所有权利。 Powered by tikuer.com

页面耗时0.0453秒, 内存占用1.03 MB, Cache:redis,访问数据库20次