下列各级数发散的是:

作者: rantiku 人气: - 评论: 0
问题 下列各级数发散的是:
选项
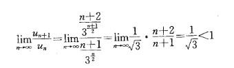
答案 A
解析 提示:选项B为交错级数,由莱布尼兹判别法,判定收敛;选项C,由正项级数比值收敛法,判定收敛。 选项D为等比级数,公比 q =2/3选项A发散,用正项级数比较法判定。

猜你喜欢

发表评论
更多 网友评论0 条评论)
暂无评论

访问排行

Copyright © 2012-2014 恰考网 Inc. 保留所有权利。 Powered by tikuer.com

页面耗时0.0477秒, 内存占用1.03 MB, Cache:redis,访问数据库20次