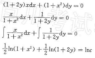
微分方程(1+2y)xdx+(1+x2)dy 的通解为:(以上各式中,c为任意常数)

作者: rantiku 人气: - 评论: 0
问题 微分方程(1+2y)xdx+(1+x2)dy 的通解为: (以上各式中,c为任意常数)
选项
答案 B
解析 提示:方程为一阶可分离变量方程,分离变量后求解。 ln(1+x2) +ln(1+2y) = 2lnc=lnc1,其中c1= c2 故(1+x2)(1+2y)=c1

猜你喜欢

发表评论
更多 网友评论0 条评论)
暂无评论

访问排行

Copyright © 2012-2014 恰考网 Inc. 保留所有权利。 Powered by tikuer.com

页面耗时0.0293秒, 内存占用1.03 MB, Cache:redis,访问数据库18次