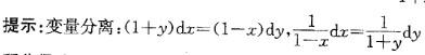
微分方程(1+y)dx-(1-x)dy=0的通解是(c为任意常数):

作者: rantiku 人气: - 评论: 0
问题 微分方程(1+y)dx-(1-x)dy=0的通解是(c为任意常数):
选项
答案 C
解析 积分得:ln(1-x)+ln(1+y)=lnc

猜你喜欢

发表评论
更多 网友评论0 条评论)
暂无评论

访问排行

Copyright © 2012-2014 恰考网 Inc. 保留所有权利。 Powered by tikuer.com

页面耗时0.0293秒, 内存占用1.03 MB, Cache:redis,访问数据库20次