A. a1=(1,1,1,0)T,a2=(-1,-1,1,0)TB. a1=(2,1,0,1)T,a2=(-1,-1,1,0)TC. a1=(...

作者: rantiku 人气: - 评论: 0
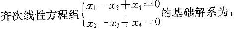
问题 A. a1=(1,1,1,0)T,a2=(-1,-1,1,0)T B. a1=(2,1,0,1)T,a2=(-1,-1,1,0)T C. a1=(1,1,1,0)T,a2=(-1,0,0,0)T D.a1=(2,1,0,1)T,a2=(-2,-1,0,1)T
选项
答案 C
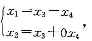
解析 提示:对方程组的系数矩阵进行初等行变换,得到方程组的同解方程组 当x3=1,x4=0 时,得x1=1,x2=1;当x3=0,x4=1时,得x1=-1,x2=0,写成基础解系ξ1,ξ2。

猜你喜欢

发表评论
更多 网友评论0 条评论)
暂无评论

访问排行

Copyright © 2012-2014 恰考网 Inc. 保留所有权利。 Powered by tikuer.com

页面耗时0.0353秒, 内存占用1.03 MB, Cache:redis,访问数据库19次