都是线性方程组Ax=0的解,则矩阵A为:

作者: rantiku 人气: - 评论: 0
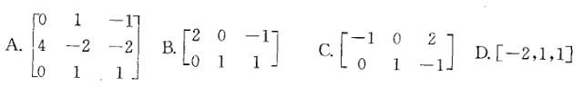
问题 都是线性方程组Ax=0的解,则矩阵A为:
选项
答案 D
解析 提示:a1,a2是方程组Ax=0的两个线性无关的解,方程组含有3个未知量,故矩阵A的秩R(A)=3-2=1,而选项A、B、C的秩分别为3、2、2均不符合要求。将选项D代入方程组_

猜你喜欢

发表评论
更多 网友评论0 条评论)
暂无评论

访问排行

Copyright © 2012-2014 恰考网 Inc. 保留所有权利。 Powered by tikuer.com

页面耗时0.0295秒, 内存占用1.03 MB, Cache:redis,访问数据库18次