设随机变量X的概率密度为望是:A.3/4B.1/2C.2/3D.1/4

作者: rantiku 人气: - 评论: 0
问题 设随机变量X的概率密度为望是: A.3/4 B.1/2 C.2/3 D.1/4
选项
答案 A
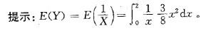
解析

猜你喜欢

发表评论
更多 网友评论0 条评论)
暂无评论

访问排行

Copyright © 2012-2014 恰考网 Inc. 保留所有权利。 Powered by tikuer.com

页面耗时0.0267秒, 内存占用1.03 MB, Cache:redis,访问数据库18次