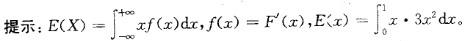
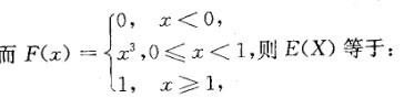
X的分布函数F(x),A. 0.7 B.0. 75 C. 0. 6 D. 0. 8
相关内容:函数
- 函数y = f (x)在点x = x0,处取得极小值,则必有:
- 若有则当x→0时,f(x)是:(A)有极限的函数(B)有界函数(C)无穷小量(D)比(x-a)高阶的无穷小
- 下列各波函数不合理的是:(A) ψ(1,1,0) (B) ψ(2,1,0) (C) ψ(3,2,0) (D) ψ(5,3,0)
- 设y=f(x)是(a, b)内的可导函数,X,X+ΔX是(a, b)内的任意两点,则:(A) Δy= f‘ (x)Ax(B)在x,x+Ax之间恰好...
- 单位阶跃函数信号ε(t)具有:A.周期性 B.抽样性 C.单边性 D.截断性