已知随机变量X服从二项分布,且E(X)=2.4,D(X)=1.44,则二项分布的参数n,p分别是:A. n=4,p=0. 6 B. n=6,p=0.4...

作者: rantiku 人气: - 评论: 0
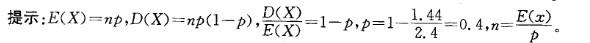
问题 已知随机变量X服从二项分布,且E(X)=2.4,D(X)=1.44,则二项分布的参数n,p分别是: A. n=4,p=0. 6 B. n=6,p=0.4 C. n=8,p=0.3 D.n=24,p=0. 1
选项
答案 B
解析

猜你喜欢

发表评论
更多 网友评论0 条评论)
暂无评论

访问排行

Copyright © 2012-2014 恰考网 Inc. 保留所有权利。 Powered by tikuer.com

页面耗时0.0523秒, 内存占用1.03 MB, Cache:redis,访问数据库20次