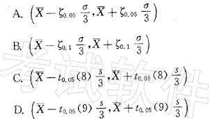
设总体X~N(u,σ2),u与σ2均未知,x1,x2,...,x9为其样本,样本方差,则u的置信度为0. 9的置信区间是:

作者: rantiku 人气: - 评论: 0
问题 设总体X~N(u,σ2),u与σ2均未知,x1,x2,...,x9为其样本,样本方差,则u的置信度为0. 9的置信区间是:
选项
答案 C
解析

猜你喜欢

发表评论
更多 网友评论0 条评论)
暂无评论

访问排行

Copyright © 2012-2014 恰考网 Inc. 保留所有权利。 Powered by tikuer.com

页面耗时0.0362秒, 内存占用1.03 MB, Cache:redis,访问数据库16次