在恒定不变的压强下,气体分子的平均碰撞频率

作者: rantiku 人气: - 评论: 0
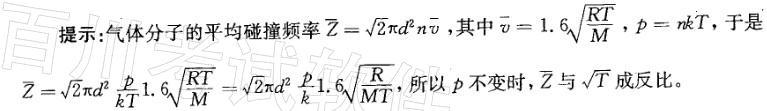
问题 在恒定不变的压强下,气体分子的平均碰撞频率
选项
答案 C
解析

猜你喜欢

发表评论
更多 网友评论0 条评论)
暂无评论

访问排行

Copyright © 2012-2014 恰考网 Inc. 保留所有权利。 Powered by tikuer.com

页面耗时0.0584秒, 内存占用1.03 MB, Cache:redis,访问数据库20次