已知m/M摩尔的理想气体,它的分子自由度为i,k是为玻兹曼常量,R及为摩尔气体常量,当该气体从状态a(p1,V1,T1)到状态b(p2,V2,T2)的变化...

作者: rantiku 人气: - 评论: 0
问题 已知m/M摩尔的理想气体,它的分子自由度为i,k是为玻兹曼常量,R及为摩尔气体常量,当该气体从状态a(p1,V1,T1)到状态b(p2,V2,T2)的变化过程中,其内能变化为:
选项
答案 B
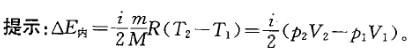
解析

猜你喜欢

发表评论
更多 网友评论0 条评论)
暂无评论

访问排行

Copyright © 2012-2014 恰考网 Inc. 保留所有权利。 Powered by tikuer.com

页面耗时0.0471秒, 内存占用1.03 MB, Cache:redis,访问数据库20次