某单原子分子理想气体进行卡诺循环时,高温热源温度为227°C,低温热源温度为127°C。则该循环的效率为:A. 56% B.34%C. 80% D...

作者: rantiku 人气: - 评论: 0
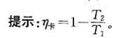
问题 某单原子分子理想气体进行卡诺循环时,高温热源温度为227°C,低温热源温度为127°C。则该循环的效率为: A. 56% B.34% C. 80% D. 20%
选项
答案 D
解析

猜你喜欢

发表评论
更多 网友评论0 条评论)
暂无评论

访问排行

Copyright © 2012-2014 恰考网 Inc. 保留所有权利。 Powered by tikuer.com

页面耗时0.0323秒, 内存占用1.03 MB, Cache:redis,访问数据库19次