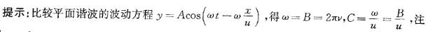
已知平面简谐波的主程为y=Acos(Bt-Cx),式中A、B、C为正常数,此波的波长和波速为:

作者: rantiku 人气: - 评论: 0
问题 已知平面简谐波的主程为y=Acos(Bt-Cx),式中A、B、C为正常数,此波的波长和波速为:
选项
答案 B
解析 意到u=λv 。

猜你喜欢

发表评论
更多 网友评论0 条评论)
暂无评论

访问排行

Copyright © 2012-2014 恰考网 Inc. 保留所有权利。 Powered by tikuer.com

页面耗时0.0326秒, 内存占用1.03 MB, Cache:redis,访问数据库19次