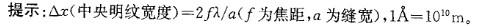
—单色平行光束垂直照射在宽度为1. 0mm的单缝上,在缝后放一焦距为2. 0m 的会聚透镜。已知位于透镜焦平面处屏幕上的中央明条纹宽度为2. 0mm,则入...

作者: rantiku 人气: - 评论: 0
问题 —单色平行光束垂直照射在宽度为1. 0mm的单缝上,在缝后放一焦距为2. 0m 的会聚透镜。已知位于透镜焦平面处屏幕上的中央明条纹宽度为2. 0mm,则入射光波长约为:
选项
答案 C
解析

猜你喜欢

发表评论
更多 网友评论0 条评论)
暂无评论

访问排行

Copyright © 2012-2014 恰考网 Inc. 保留所有权利。 Powered by tikuer.com

页面耗时0.0827秒, 内存占用1.03 MB, Cache:redis,访问数据库19次