在下列CaO、MgO、NaF晶格能大小的顺序中,正确的是哪一组?A. MgO>CaO>NaF C. CaO>MgO>NaFB. NaF>CaO>M...

作者: rantiku 人气: - 评论: 0
问题 在下列CaO、MgO、NaF晶格能大小的顺序中,正确的是哪一组? A. MgO>CaO>NaF C. CaO>MgO>NaF B. NaF>CaO>MgO D. NaF>MgO>CaO
选项
答案 A
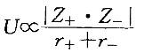
解析 提示:影响晶格能的因素主要是离子电荷与离子半径。它们的关系可粗略表示为 在MgO和CaO中,Z+ 、Z- 、r-都相同,不同的是r+ ,由于rMg2+ 2+,所以晶格能: MgO>CaO。在CaO和NaF中,Na与Ca在周期表中处于对角线位置,它们的半径近似相等。虽然ro2-略大于rF- ,但决定晶格能大小的主要因素仍为Z+和Z_。在CaO中Z+与均高于NaF中的Z+与Z- ,所以晶格能CaO>NaF。

猜你喜欢

发表评论
更多 网友评论0 条评论)
暂无评论

访问排行

Copyright © 2012-2014 恰考网 Inc. 保留所有权利。 Powered by tikuer.com

页面耗时0.0452秒, 内存占用1.03 MB, Cache:redis,访问数据库20次