对低碳钢试件进行拉伸试验,测得其弹性模量E=200GPa。当试件横截面上的正 应力达到320MPa时,测得其轴向线应变,此时开始卸载,直至横截面上正应力。...

作者: rantiku 人气: - 评论: 0
问题 对低碳钢试件进行拉伸试验,测得其弹性模量E=200GPa。当试件横截面上的正 应力达到320MPa时,测得其轴向线应变,此时开始卸载,直至横截面上正应力。最后试件中纵向塑性应变(残余应变)是:
选项
答案 A
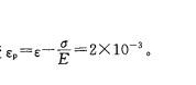
解析 提示:低碳钢试件拉伸试验中的卸载规律如解图所示。 ,故塑性应变为

猜你喜欢

发表评论
更多 网友评论0 条评论)
暂无评论

访问排行

Copyright © 2012-2014 恰考网 Inc. 保留所有权利。 Powered by tikuer.com

页面耗时0.0493秒, 内存占用1.03 MB, Cache:redis,访问数据库19次