关于化学平衡,下列叙述中不正确的是哪一种?A.可逆反应达到平衡时,正反应的平衡常数等于逆反应的平衡常数B.可逆反应达到平衡时,正反应速率等于逆反应...

作者: rantiku 人气: - 评论: 0
问题 关于化学平衡,下列叙述中不正确的是哪一种? A.可逆反应达到平衡时,正反应的平衡常数等于逆反应的平衡常数 B.可逆反应达到平衡时,正反应速率等于逆反应速率 C.可逆反应达到平衡时,参与反应的各物质的浓度保持不变 D.可逆反应达到平衡时,产物浓度幂的乘积与反应物浓度幂的乘积之比,在一定温度下是常数
选项
答案 A
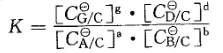
解析 提示:反应,当V正=V逆时,化学反应达到平衡。平衡常数表达式为

猜你喜欢

发表评论
更多 网友评论0 条评论)
暂无评论

访问排行

Copyright © 2012-2014 恰考网 Inc. 保留所有权利。 Powered by tikuer.com

页面耗时0.0410秒, 内存占用1.03 MB, Cache:redis,访问数据库17次