在差异充气腐蚀中,氧气浓度大和浓度小的部位的名称分别是:A.阳极和阴极 B.阴极和阳极 C.正极和负极 D.负极和正极

作者: rantiku 人气: - 评论: 0
问题 在差异充气腐蚀中,氧气浓度大和浓度小的部位的名称分别是: A.阳极和阴极 B.阴极和阳极 C.正极和负极 D.负极和正极
选项
答案 B
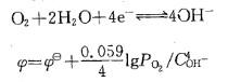
解析 提示:由反应 由氧的浓度确定φ值的高低及电极名称。

猜你喜欢

发表评论
更多 网友评论0 条评论)
暂无评论

访问排行

Copyright © 2012-2014 恰考网 Inc. 保留所有权利。 Powered by tikuer.com

页面耗时0.0401秒, 内存占用1.03 MB, Cache:redis,访问数据库20次