结构受力如图所示,各杆EA相同。若以N1、N2、N3和别表示杆①、 ②、③的轴力和纵向线应变,则下列结论中正确的是:

作者: rantiku 人气: - 评论: 0
问题 结构受力如图所示,各杆EA相同。若以N1、N2、N3和别表示杆①、 ②、③的轴力和纵向线应变,则下列结论中正确的是:
选项
答案 A
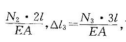
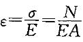
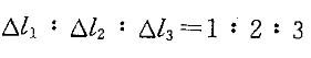
解析 提示:应用几何变形协调条件和物理方程可知N1=N2=N3;又根据胡克定律,可知

猜你喜欢

发表评论
更多 网友评论0 条评论)
暂无评论

访问排行

Copyright © 2012-2014 恰考网 Inc. 保留所有权利。 Powered by tikuer.com

页面耗时0.0877秒, 内存占用1.03 MB, Cache:redis,访问数据库20次