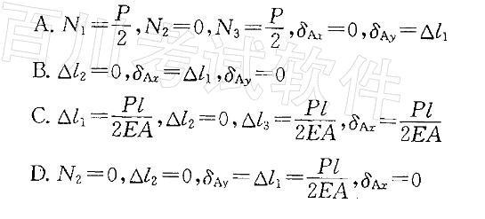
结构受力如图所示。若用N1,、N2、N3和匕分别代表杆①、②、③的轴力和伸长,用表示点A的水平位移和竖直位移,则下列结论中正确的是:

作者: rantiku 人气: - 评论: 0
问题 结构受力如图所示。若用N1,、N2、N3和匕分别代表杆①、②、③的轴力和伸长,用表示点A的水平位移和竖直位移,则下列结论中正确的是:
选项
答案 C
解析 提示:由AB杆的受力分析可知,N1=,N2=0,N3=;再用胡克定律可求出==0,=;由于A点受力变形后依然要连接杆①和杆②,故可用切线代替圆弧的办法求出A的水平位移。

猜你喜欢

发表评论
更多 网友评论0 条评论)
暂无评论

访问排行

Copyright © 2012-2014 恰考网 Inc. 保留所有权利。 Powered by tikuer.com

页面耗时0.0387秒, 内存占用1.03 MB, Cache:redis,访问数据库18次