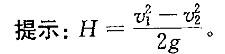
图示一高压喷水入大气的喷嘴,喷嘴出口断面1-1的平均流速v1为30m/s,喷至2-2断面的平均流速v2减少为1m/s,不计水头损失,则喷射高度H为: ...

作者: rantiku 人气: - 评论: 0
问题 图示一高压喷水入大气的喷嘴,喷嘴出口断面1-1的平均流速v1为30m/s,喷至2-2断面的平均流速v2减少为1m/s,不计水头损失,则喷射高度H为: A. 45. 86m B. 3. 25m C. 5. 81m D. 6. 22m
选项
答案 A
解析

猜你喜欢

发表评论
更多 网友评论0 条评论)
暂无评论

访问排行

Copyright © 2012-2014 恰考网 Inc. 保留所有权利。 Powered by tikuer.com

页面耗时0.0375秒, 内存占用1.03 MB, Cache:redis,访问数据库18次