图示装置中,巳知质量m = 200kg,弹簧刚度k=100N/cm,则图中各装置的振动周期为:A.图a)装置振动周期最大 B.图b)装置振动周期最...

作者: rantiku 人气: - 评论: 0
问题 图示装置中,巳知质量m = 200kg,弹簧刚度k=100N/cm,则图中各装置的振动周期为: A.图a)装置振动周期最大 B.图b)装置振动周期最大 C.图c)装置振动周期最大 D.三种装置振动周期相等
选项
答案 B
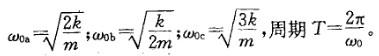
解析 提示:装置a)、b)、c)的自由振动频率分别为

猜你喜欢

发表评论
更多 网友评论0 条评论)
暂无评论

访问排行

Copyright © 2012-2014 恰考网 Inc. 保留所有权利。 Powered by tikuer.com

页面耗时0.0404秒, 内存占用1.03 MB, Cache:redis,访问数据库20次