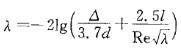
计算阻力系数的柯列布洛克(Coiebrook)公式,一般认为适用于什么区?A.仅适用于层流区B.仅适用于光滑区C.仅适用于过渡区D.紊流光...

作者: rantiku 人气: - 评论: 0
问题 计算阻力系数的柯列布洛克(Coiebrook)公式,一般认为适用于什么区? A.仅适用于层流区 B.仅适用于光滑区 C.仅适用于过渡区 D.紊流光滑区、过渡区、粗糖区均近似可用
选项
答案 D
解析 提示:参见工业粗糙管一节。

猜你喜欢

发表评论
更多 网友评论0 条评论)
暂无评论

访问排行

Copyright © 2012-2014 恰考网 Inc. 保留所有权利。 Powered by tikuer.com

页面耗时0.0646秒, 内存占用1.03 MB, Cache:redis,访问数据库19次