有一圆形压力水管,直径d=6mm,在长为2m的流程上,沿程水头损失hf= 4. 228mH2O,管中流速v=2.723m/s,其沿程阻力系数λ为:A....

作者: rantiku 人气: - 评论: 0
问题 有一圆形压力水管,直径d=6mm,在长为2m的流程上,沿程水头损失hf= 4. 228mH2O,管中流速v=2.723m/s,其沿程阻力系数λ为: A. 0. 025 B. 0. 0335 C. 0. 0262 D. 0. 041
选项
答案 B
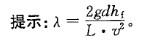
解析

猜你喜欢

发表评论
更多 网友评论0 条评论)
暂无评论

访问排行

Copyright © 2012-2014 恰考网 Inc. 保留所有权利。 Powered by tikuer.com

页面耗时0.1063秒, 内存占用1.03 MB, Cache:redis,访问数据库19次