图示一矩形断面通风管道,断面尺寸为1. 2mx0.6m,空气密度ρ=1.20kg/m3,流速v=16. 2m/s,沿程阻力系数λ=0.0145,流程长度L...

作者: rantiku 人气: - 评论: 0
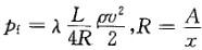
问题 图示一矩形断面通风管道,断面尺寸为1. 2mx0.6m,空气密度ρ=1.20kg/m3,流速v=16. 2m/s,沿程阻力系数λ=0.0145,流程长度L=12m的沿城压强损失为: A.27.14N/m2 B. 28. 14N/m2 C. 34. 25N/m2 D. 45. 51N/m2
选项
答案 C
解析 提示:压强损失

猜你喜欢

发表评论
更多 网友评论0 条评论)
暂无评论

访问排行

Copyright © 2012-2014 恰考网 Inc. 保留所有权利。 Powered by tikuer.com

页面耗时0.0487秒, 内存占用1.03 MB, Cache:redis,访问数据库14次