资料同上题,则其沿程阻力系数λ应为:A. 0. 033 B. 0. 041 C. 0. 025 D. 0. 018

作者: rantiku 人气: - 评论: 0
问题 资料同上题,则其沿程阻力系数λ应为: A. 0. 033 B. 0. 041 C. 0. 025 D. 0. 018
选项
答案 A
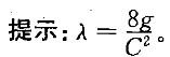
解析

猜你喜欢

发表评论
更多 网友评论0 条评论)
暂无评论

访问排行

Copyright © 2012-2014 恰考网 Inc. 保留所有权利。 Powered by tikuer.com

页面耗时0.0455秒, 内存占用1.03 MB, Cache:redis,访问数据库20次