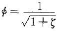
孔口出流试验中测得孔口出流的局部阻力系数ζ=0. 06,则其流速系数Φ为:A. 0. 94 B. 0. 95 C. 0. 96 D. 0. 97

作者: rantiku 人气: - 评论: 0
问题 孔口出流试验中测得孔口出流的局部阻力系数ζ=0. 06,则其流速系数Φ为: A. 0. 94 B. 0. 95 C. 0. 96 D. 0. 97
选项
答案 D
解析 提示:孔口出流流速系数

猜你喜欢

发表评论
更多 网友评论0 条评论)
暂无评论

访问排行

Copyright © 2012-2014 恰考网 Inc. 保留所有权利。 Powered by tikuer.com

页面耗时0.0426秒, 内存占用1.03 MB, Cache:redis,访问数据库18次