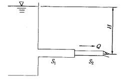
串联长管如图所示。通过流量为Q=50L/s,管道阻抗分别为S1=902.9s2/m5,S2=4185s2/m5,则水头H为:A.15.64 m B...

作者: rantiku 人气: - 评论: 0
问题 串联长管如图所示。通过流量为Q=50L/s,管道阻抗分别为S1=902.9s2/m5,S2=4185s2/m5,则水头H为: A.15.64 m B. 13. 53m C. 12. 72m D. 14. 71m
选项
答案 C
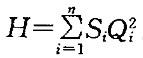
解析 提示:串联长管总水头

猜你喜欢

发表评论
更多 网友评论0 条评论)
暂无评论

访问排行

Copyright © 2012-2014 恰考网 Inc. 保留所有权利。 Powered by tikuer.com

页面耗时0.0280秒, 内存占用1.03 MB, Cache:redis,访问数据库13次