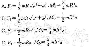
偏心轮为均质圆盘,其质量为m,半径为R,偏心距OC=R/2。若在图示位置时,轮绕O轴转动的角速度为ω,角加速度为α,则该轮的惯性力系向O点简化的主矢FI和...

作者: rantiku 人气: - 评论: 0
问题 偏心轮为均质圆盘,其质量为m,半径为R,偏心距OC=R/2。若在图示位置时,轮绕O轴转动的角速度为ω,角加速度为α,则该轮的惯性力系向O点简化的主矢FI和主矩MIO的大小为:
选项
答案 A
解析 提示:MIO=-JOα,其中 JO = JC + m? OC2 。

猜你喜欢

发表评论
更多 网友评论0 条评论)
暂无评论

访问排行

Copyright © 2012-2014 恰考网 Inc. 保留所有权利。 Powered by tikuer.com

页面耗时0.0371秒, 内存占用1.03 MB, Cache:redis,访问数据库15次